pacman::p_load(tidyverse, ggstatsplot, performance, gganimate, gifski, ggridges)
The downloaded binary packages are in
/var/folders/ww/j00nhnk94cj6ylcjzs1rcx9c0000gn/T//RtmpGjWoe9/downloaded_packages
Siddharth Singh
February 7, 2023
March 1, 2023
To uncover the salient patterns of resale prices of public housing property using appropriate analytical visualisation techniques. For this task, the focus is on 3-ROOM, 4-ROOM and 5-ROOM types in 2022
Looking at the data overall, the price is provided for different room types. As these room types have different area, price per sq m can have better estimates for trend.
As the market is highly dependent on demand and supply, we need to understand what factors affect the demand and supply. As a person looking for a home, location is very important. It is also important that it accommodates my needs as 3/4/5 rooms, which type will be more suitable. As it is a big investment, it is also highly important to take note of number of years left on the lease.
Considering all the above conditions, we can use many tools such as scatterplot, bar, etc to get meaningful insights. We can also use regression model to improve on our findings.
“Resale flat princes based on registration date from Jan-2017 onwards” Data is taken from Data.gov.sg and prepared for visualisation.
Original Data needs to be filtered for 3/4/5 Rooms and month should be from 2022 as required in this task. Remaining Lease is also rounded to year only in numeric for better use. As different rooms have different area, Price per square meter can give better estimates for trends.
Datatable below shows the final mutated, filtered data which will be used later in visualisation.
One-sample test is done on pricePerSqm
Histogram of dataset
set.seed(1234)
gghistostats(
data = data,
x = pricePerSqm,
type = "bayes",
test.value = 5700,
xlab = "Resale Price per sq m"
)
It can be seen that highest proportion of resale price the property around 4.9k per sq meter.
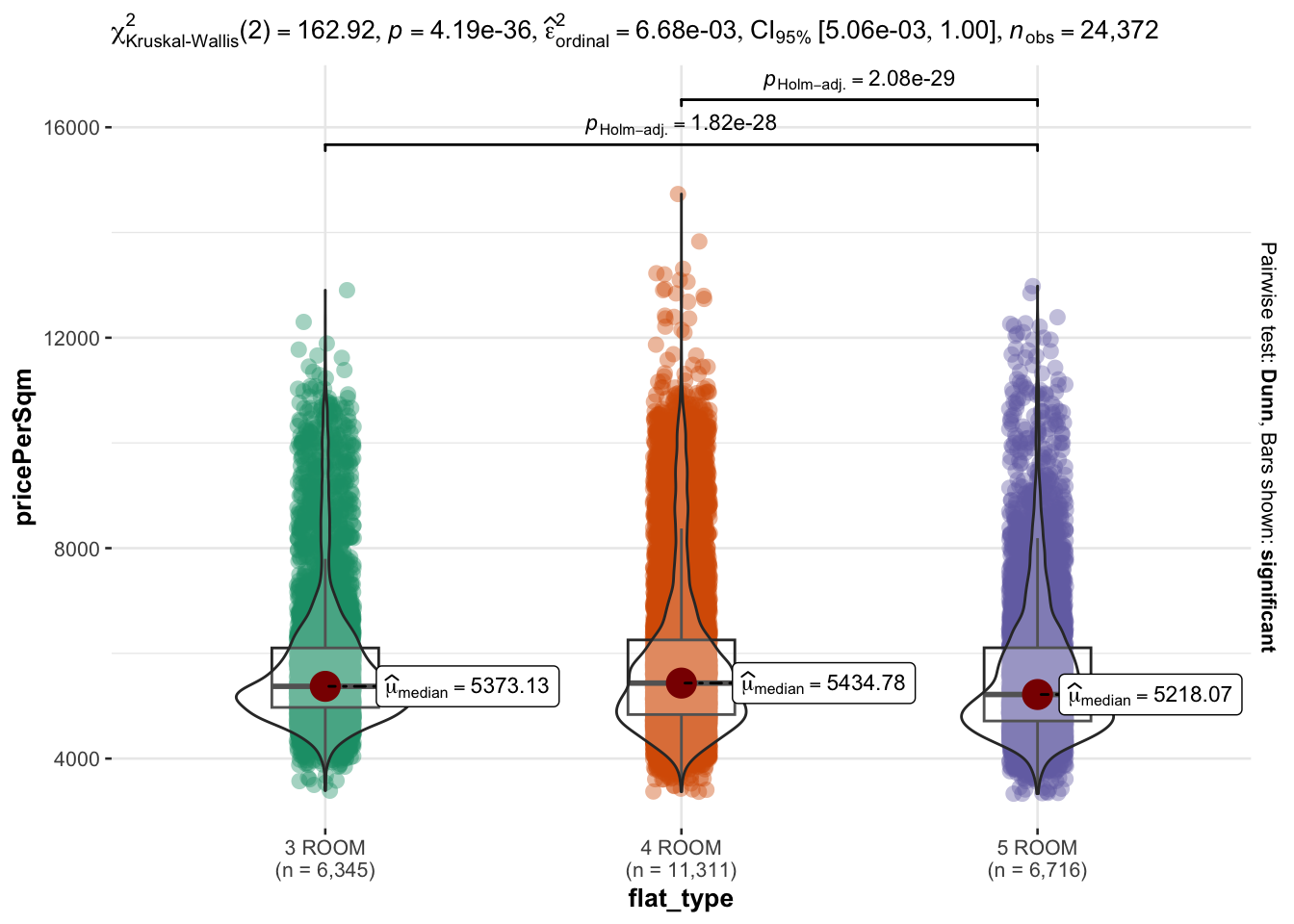
Two sample mean test is done on data of flat_type and pricePerSqm
There are slight variation in the price per sq m in different flat types. The median of 3 and 4 rooms are higher than 5 room, it can signify that people prefer 3-4 rooms as compared to 5 rooms, as the demand goes up, the price also goes up along with that. It can show that Singapore has more nuclear family where 3-4 rooms are enough for them.
Visual for One-way ANOVA Test on flat_type and pricePerSqm
ggbetweenstats(
data = data,
x = flat_type,
y = pricePerSqm,
type = "p",
mean.ci = TRUE,
pairwise.comparisons = TRUE,
pairwise.display = "s",
p.adjust.method = "fdr",
messages = FALSE
)
It can be seen that 4 Room are the highest priced whereas 5 room have lower price which can means 5 rooms are lower in demand compared to 3-4 rooms. It can be insightful for analysis on Singapore’s budget and requirements on housing and
ggscatterstats is used to see the relation between pricePerSqm and Remaining Lease.
It can be seen that prices have significant variation below 40 and more than 85. As prices are much higher when lease is more than 85 years. The price tend to be lower if the lease is less than 40 years left.
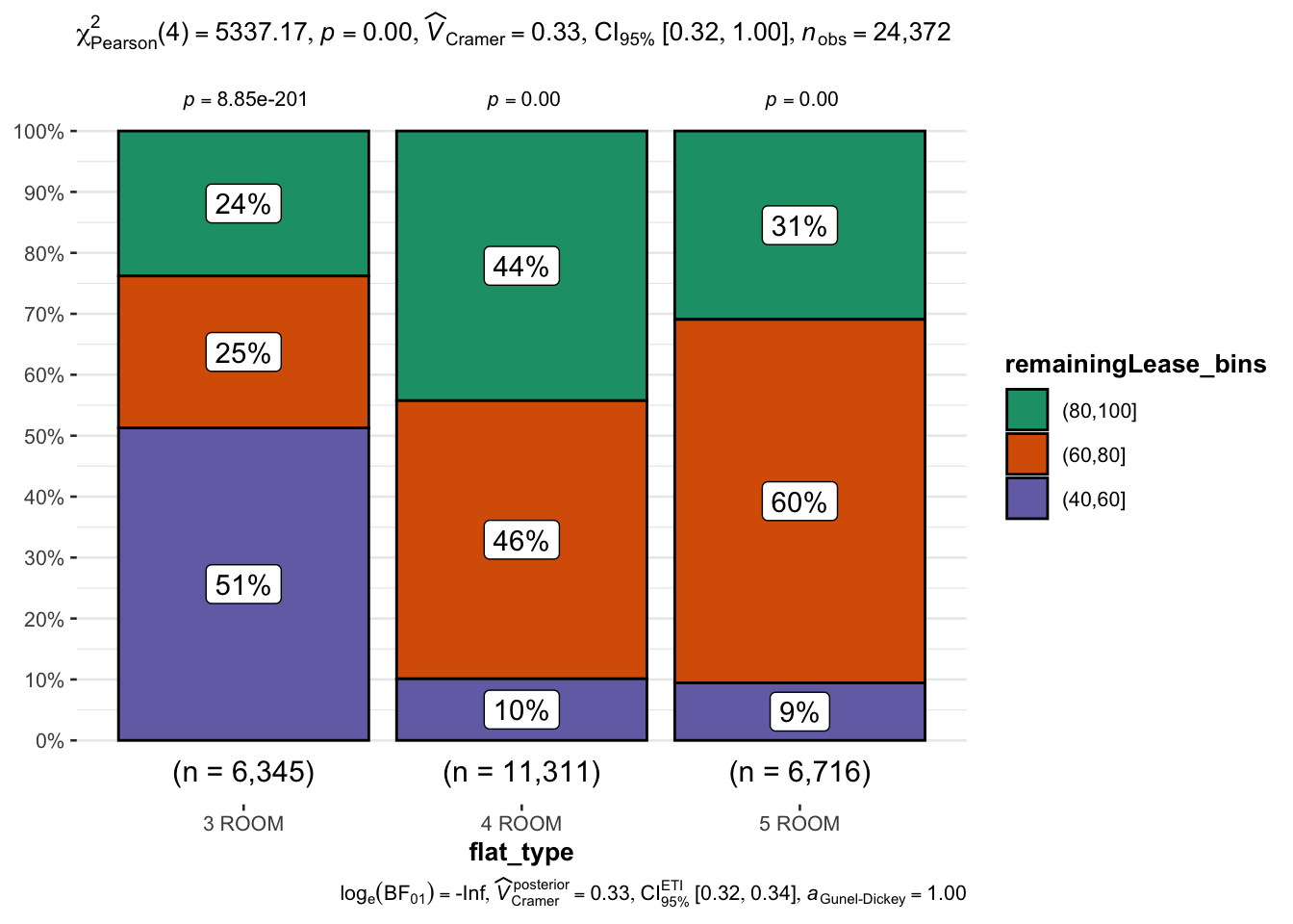
Data mutation before ggbarstats() is used.
Remaining Lease is divided into 3 categories (i.e. 40-60, 60-80, 80-100).
3 Room have half of the rooms under 40-60 years lease left, i.e. on the lower end of the remaining lease. whereas 4 and 5 Rooms type have good no of years of years left on lease as only 9-10% only have less than 60 years on lease and majority are in 60-100 years of lease.
ggscatterstats(
data = data,
x = storey_range,
y = town,
marginal = FALSE
) + theme(axis.text.x = element_text(angle = 90, vjust = 0.5, hjust=1))
It can be seen here that places like Central Area have higher stories compared to Tampines and Serangoon. This can also impact the resale price.
Different town areas have different proportion of room types. 4 room type is quite common in most of the areas.
model <- lm(formula = resale_price ~ town + flat_type + storey_range + flat_model + remainingLease,
data = data)
model
Call:
lm(formula = resale_price ~ town + flat_type + storey_range +
flat_model + remainingLease, data = data)
Coefficients:
(Intercept) townBEDOK
151789 -34537
townBISHAN townBUKIT BATOK
97118 -76741
townBUKIT MERAH townBUKIT PANJANG
81728 -142853
townBUKIT TIMAH townCENTRAL AREA
158965 83015
townCHOA CHU KANG townCLEMENTI
-159908 7248
townGEYLANG townHOUGANG
19553 -79871
townJURONG EAST townJURONG WEST
-87367 -137464
townKALLANG/WHAMPOA townMARINE PARADE
51077 124002
townPASIR RIS townPUNGGOL
-80850 -144531
townQUEENSTOWN townSEMBAWANG
76228 -160337
townSENGKANG townSERANGOON
-154550 5026
townTAMPINES townTOA PAYOH
-46388 45546
townWOODLANDS townYISHUN
-145739 -113317
flat_type4 ROOM flat_type5 ROOM
129210 280276
storey_range04 TO 06 storey_range07 TO 09
16567 30470
storey_range10 TO 12 storey_range13 TO 15
36678 46623
storey_range16 TO 18 storey_range19 TO 21
68597 95913
storey_range22 TO 24 storey_range25 TO 27
110792 127522
storey_range28 TO 30 storey_range31 TO 33
166218 154948
storey_range34 TO 36 storey_range37 TO 39
174175 180544
storey_range40 TO 42 storey_range43 TO 45
230585 215197
storey_range46 TO 48 storey_range49 TO 51
351569 263738
flat_modelAdjoined flat flat_modelDBSS
5027 69916
flat_modelImproved flat_modelImproved-Maisonette
-65080 166431
flat_modelModel A flat_modelModel A-Maisonette
-12830 153437
flat_modelModel A2 flat_modelNew Generation
-42080 -26413
flat_modelPremium Apartment flat_modelPremium Apartment Loft
-12040 164799
flat_modelSimplified flat_modelStandard
-54281 -74066
flat_modelTerrace flat_modelType S1
457746 225949
flat_modelType S2 remainingLease
189946 4244
In this task, we used analytical tools to visualise and find features in the data provided.
This visualisation can be helpful in finding patterns for people living in Singapore, how much they are spending on Housing. What’s the demand and supply situation in the current market. How does different parameters affect the market and resale value.
Our key focus was 3/4/5 room type in the current year. Many factors affected the price such as location, storey range, remaining lease, floor area etc.
We used a lot of different tools to visualise different parameters impact on the price.
One single visualisation cannot give a straight forward result. Using many different tools and techniques providing some part of information, we are able to construct the whole picture by combining them.
Overall, it is seen this task that 4 room have higher price and hence highest in demand. 5 rooms are relatively cheaper but with more area, it can be much expensive and not budget-friendly option. 3 rooms will have less area and hence cheaper option but people tend to go more for 4 room which might suggest that people require more 4 room to accommodate their needs.